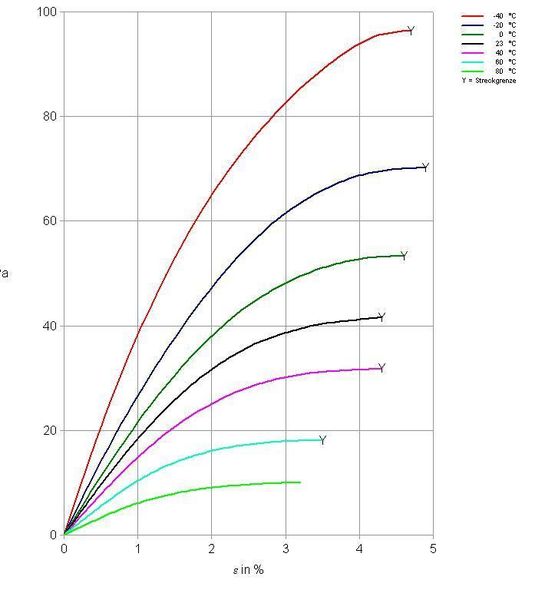
Serie: Teil 3 – Anwendungsbeispiel Fertigung von Kunststoff-Bauteilen

Zurück zum Artikel